foto/ pregled isplaćenih sredstava

Koje stranke su najviše profitirale iz budžeta u proteklih 12 godina?

Front30.01.20, 13:22h

Koje stranke su najviše profitirale iz budžeta u proteklih 12 godina?
Iz budžeta grada Sarajevo političkim subjektima isplaćena su sredstva u iznosu 300,000,00 KM, dok je iz budžeta grada Istočno Sarajevo političkim subjektima isplaćen iznos od 38.000,00 KM

 

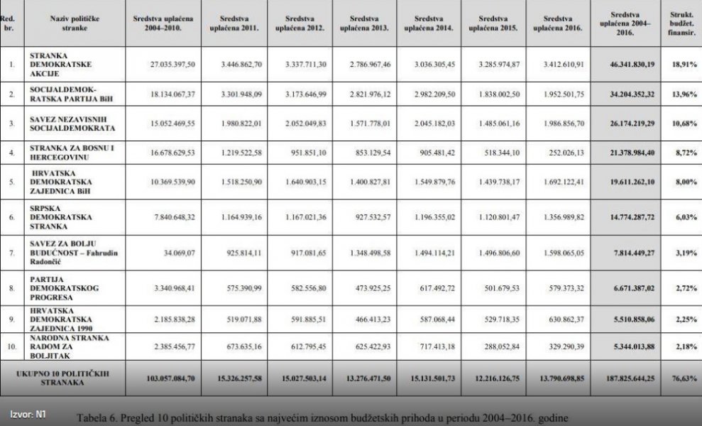
Od ukupno izdvojenih sredstva iz budžeta za finansiranje političkih stranaka u periodu od 2004. do 2016. godine (u iznosu 245.103.963,48 KM) 76,63 posto sredstva je raspoređeno na deset političkih stranaka: SDA, SDP BiH, SNSD, Stranku za BiH, HDZ BiH, SDS, SBB BiH, PDP, Narodnu stranku Radom za boljitak i HDZ 1990 - piše N1.

 

Stranka demokratske akcije je primila 18,91 posto, Socijaldemokratska partija BiH 13,96 posto, Savez nezavisnih socijaldemokrata 10,68 posto, Stranka za Bosnu i Hercegovinu 8,72 posto, Hrvatska demokratska zajednica BiH 8,00 posto, Srpska demokratska stranka 6,03 posto, Savez za bolju budućnost BiH 3,19 posto, Partija demokratskog progresa 2,72, Narodna stranka Radom za boljitak 2,18 posto i Hrvatska demokratska zajednica 1990 2,25 posto od ukupno izdvojenih budžetskih sredstava.

budzet-stranke

 

U okviru budžetskih sredstava izdvojenih političkim strankama u 2016. godini, iz budžeta u Federaciji BiH su izdvojena sredstva u iznosu od 12.004.616,40 KM ili 66,55 posto, iz budžeta Republike Srpske 4.835.411,36 KM ili 26,81 posto, iz budžeta Brčko distrikta BiH 258.019,03 KM ili 1,43 posto, dok su iz budžeta Bosne i Hercegovine izdvojena sredstva u iznosu od 940.945,19 KM ili 5,22 posto od ukupnog iznosa budžetskih sredstava. 

 

budzet-stranke-2


Iz budžeta općina i gradova, osnovnih izbornih jedinica, u Federaciji BiH političkim subjektima u 2016. godini isplaćena su sredstva u iznosu 4.689.692,75 KM, dok su iz budžeta općina gradova u Republici Srpskoj isplaćena sredstva u iznosu 1.617.411,36 KM.

 

Iz budžeta grada Sarajevo političkim subjektima isplaćena su sredstva u iznosu 300,000,00 KM, dok je iz budžeta grada Istočno Sarajevo političkim subjektima isplaćen iznos od 38.000,00 KM.

 

Iz budžeta kantona u Federaciji BiH političkim subjektima u 2016. godini isplaćena su sredstva u iznosu 3.414.923,62KM.  

 

(N1, DEPO PORTAL, BLIN MAGAZIN/mr)


Depo.ba pratite putem društvenih mreža Twitter i Facebook



Komentari - Ukupno 8

NAPOMENA - Portal Depo.ba zadržava pravo da obriše neprimjereni dio ili cijeli komentar bez najave i objašnjenja. Mišljenja iznešena u komentarima nisu stavovi redakcije web portala Depo.ba!
Prikaži još