Udar na džepove pušača

U BiH ponovo poskupljuju cigarete, ovo su im nove cijene

Biznis Klub10.02.26, 14:37h

U BiH ponovo poskupljuju cigarete, ovo su im nove cijene
Cigarete kompanije TDR poskupjet će od 13. februara, zatim od 19. februara primjenjuju se nove cijene Philip Morrisa, a od 9. marta to će učiniti Nelt

 

 

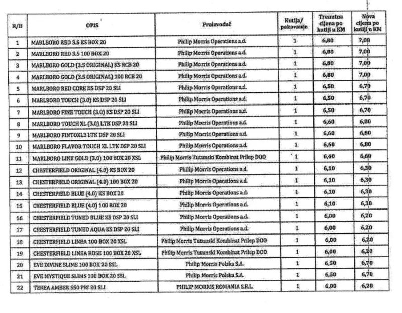
Uprava za indirektno oporezivanje Bosne i Hercegovine obavijestila je o novim malopridajnim cijenama cigareta od tri distributera.

 

Cigarete kompanije TDR poskupjet će od 13. februara, zatim od 19. februara primjenjuju se nove cijene Philip Morrisa, a od 9. marta to će učiniti Nelt.

 

Ovo će biti nove cijene cigareta:

 

cigarete-cijene1

cigarete-cijene2

cigarete-cijene3

cigarete-cijene4

cigarete-cijene5

cigarete-cijene6

 

 

 

(DEPO PORTAL/dg)


Depo.ba pratite putem društvenih mreža Twitter i Facebook