
Aktuelni menadžment Univerzitetskog kliničkog centra ima sjajne izglede da postigne nedostižan rekord u poslovanju jedne javne ustanove – gubitak od 100 miliona maraka! U tome imaju svestranu pomoć trilinga seoskih lola: Amira Fazlića koji je još uvijek na čelu kantonalne organizacije SDA i kalesijskih zvukova Hazima Rančića i Rasima Omerovića, piše portal Tip.ba.
Rečeni triling svim silama nastoji političkom podrškom aktuelnom direktoru dr. Elmiru Čičkušiću, iz opozicione Stranke za budžet i hapanje (SBiH) i njegovim saradnicima produžiti mandat nemiješanja u svoje dobro plaćene poslove. Zato gubici rastu, zalihe lijekova i drugog materijala se smanjuju, smanjuje se i broj stručnjaka koji odlaze, trbuhom za boljom plaćom, u Sloveniju i Hrvatsku, ali se zato povećavaju javašluk i neodgovornost, nezadovoljstvo liječnika a rastu konta privilegovanih uposlenika sa ugovornim plaćama.
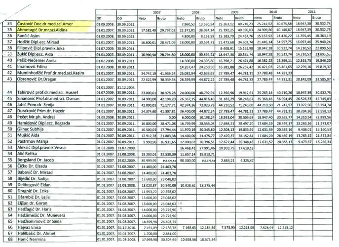
Kako i zašto ugovorne plaće, po kojem pravilniku, po kojem zakonu, po kojim kriterijima…? Kako nema odgovora na ova i druga pitanja, te su plaće sve do nekoliko dana unazad bile i tabu tema za Upravni odbor. One su nastale kao privatni i strogo čuvani odnos generalnog direktora i uposlenika. Dakako, mnogo je sasvim opravdanih plaća profesorima na Medicinskom fakultetu i direktorima klinika, kao i svim priznatim stručnjacima. Ali, na tom spisku, koji donosimo u prilogu, najmanje tridesetak osoba ne treba da se nalazi, pogotovo kad se vidi da su ugovorne plaće davane po kriteriju «od čibuka» to jest i po babu i po ličnim interesima.
Kako inače razumjeti da izvjesna pravnica, koju zbog nezakonitosti treba kazniti, ima deset hiljada maraka veću godišnju plaću od jednog dr. Uzeira Durakovića ili dr. Kasima Muminhodžića, da inženjer kao šef održavanja ima sedam hiljada više od direktora Interne klinike, najvećeg i najsloženijeg dijela UKC ? Očito, radi se po sistemu:Uzmi ago, koliko ti drago!

No, zašto se ništa ne mijenja, zašto se čeka totalno urušavanje UKC, zašto pomenuti triling radi protiv interesa građana i političke opcije zahvaljujući čijoj su podršci od gologuzana postali imućni ljudi? Zar im je to malo? Postavlja se i pitanje zašto rukovodstvo SDA ne poziva na odgovornost Fazlića, Rančića i Omerovića? Zašto federalnim medijima UKC nije interesantan?
Lažni sjaj Univerzitetskog kliničkog centra u Tuzli tamni u zadnje dvije-tri godine što ponajviše šteti najstručnijim ljekarima i pacijentima. Srbijanci bi rekli: spolja gladac, a unutra jadac!

Prilog tomu je i slučaj glavne sestre na Radiološkoj klinici, Mirze Bekan. Ona se javno pobunila i na najvažnije adrese uputila tekst prigovora na zahtjev direktora, dr Kopića, da se ona smijeni sa tog radnog mjesta.
Iz prigovora sestre Bekan izdvajamo:
«Saznavši da je moj direktor dr Kopić podnio zahtjev za moju smjenu vršeći pritisak na saradnike klinike da daju saglasnost (što su većina i učinila jer se boje posljedica, Muhamedu je rekao:»Znaš li ti da sam te ja imenovao», jer je odbio staviti potpis, ne mogu da dozvolim da mi savjest ne bude čista a da ne dam obrazloženje cilja moje smjene…Pošto je glavna činjenica za moju smjenu nedovoljna komunikacija a ne nerad, neznanje ili slično, smatram se dužnom da Vam obrazložim uzroke te loše komunikacije. Komunikacija je bila u redu do aprila 2010.godine kada direktoru dr. Kopiću dolazi donacija iz Njemačke. Kad nisam uspjela da prikrijem UZ-aparat koji je bio u papirima ali ga nije bilo na licu mjesta, puca ta navodna «komunikacija». Od tada direktor traži načine da mene smijeni a stavi poslušnika koji će raditi ono što narušava standardne procedure Ustanove».
U nastavku, gospođa Bekan smatra da je njena smjena “poželjna iz sljedećih razloga”:
- Vodim dnevnk rada svaki dan kako sam došla na Kliniku
-Uvela sam korištenje slobodnog dana (za ispit) uz direktorovu pismenu saglasnost
-Nisam saučesnik u primanju pacijenata R.A. iz Kalesije čiji je muž sutradan donio pečeno janje na onkologiju(2.7.2010.)
-S.K. transplantiran, poslije par dana egzitirao, otac donio janje
-Vodim evidenciju pacijenata koji su egzitirali od 11.1.201111. do 8.4.2011.(egzitiralo 17 pacijenata)
-Pacijenti su primani bez adekvatne medicinske dokumentacije
-Vodim evidenciju da u par navrata konzilij nije radio
-U stacionar direktor došao 2-3 puta za godinu dana
-Redovno vodim evidenciju specijalističkih pregleda i dostavljam u Kontrolu kvaliteta. U 2010.godini smo imali 107 odgođenih kontrola
-Vizite sa direktorom i gl. sestrom na onkologiji i hematologiji nakon 6 mjeseci su bile 17. i 18. 8. 2010. i ponovo početkom marta 2011. godine
-Veliki problem oko naučne studije Herceptin, upoznata Glavna sestra. Sestre koje su vodile studiju sa direktorom bile su izložene svakodnevnom saslušanju, Pejić Danica i Dropić Nirmana. Direktor je govorio Danici da će podići kredit da otplati Herceptin, fali 63 ampule. Završen izvještaj koji nije tačan
Tu smo! Gdje su nestale ampule? Svaka ampula košta oko pet hiljada maraka! Kad se pomnoži sa 63 komada ispada da je neko “maznuo” više od 300.000 maraka, ili ih je negdje zaturio, ne daj Bože bacio! Kad ovo pročita kantonalni tužilac Šesenam Ćosić, vjerujem da neće ni repom odmahnuti.”
I tako dalje i dalje piše sestra Bekan. Na kraju veli:
»Ako menadžmentu Ustanove odgovara da direktor dr Kopić radi na Klinici što želi, i da menadžment izvještava samo o onome što on hoće, ja vidim sebe kao smetnju te prihvatam moju smjenu».
Epilog ovog dramskog zapleta je slijedeći, dr je i dalje direktor Klinike za onkologiju, hematologiju i radiologiju, sestra Bekan nije više glavna sestra Klinike. Unaprijeđena je i radi u Službi za kvalitet! No, ko je maznuo 300.000 maraka!?
(TIP.BA/DEPO PORTAL/em)
PODIJELI NA
Depo.ba pratite putem društvenih mreža Twitter i Facebook